Εντυπωσιακές αυξομειώσεις αναμένονται φέτος στις βάσεις εισαγωγής κυρίως των περιφερειακών τμημάτων και όσων άλλαξαν «προφίλ» – για παράδειγμα, εντάχθηκαν σε Πολυτεχνικές Σχολές και εκδόθηκαν αποφάσεις του ΤΕΕ που κάνουν δεκτά ως μέλη του τους αποφοίτους τους.
Αντίθετα, στις παραδοσιακές σχολές/τμήματα αναμένονται «λελογισμένες» αυξομειώσεις, στο πλαίσιο των ετήσιων μεταβολών στις βάσεις εισαγωγής. Κοινό στοιχείο για όλα τα επιστημονικά πεδία είναι ότι οι αυξομειώσεις θα είναι μικρότερες στις υψηλόβαθμες σχολές και μεγαλύτερες στις μεσαίες και χαμηλόβαθμες.
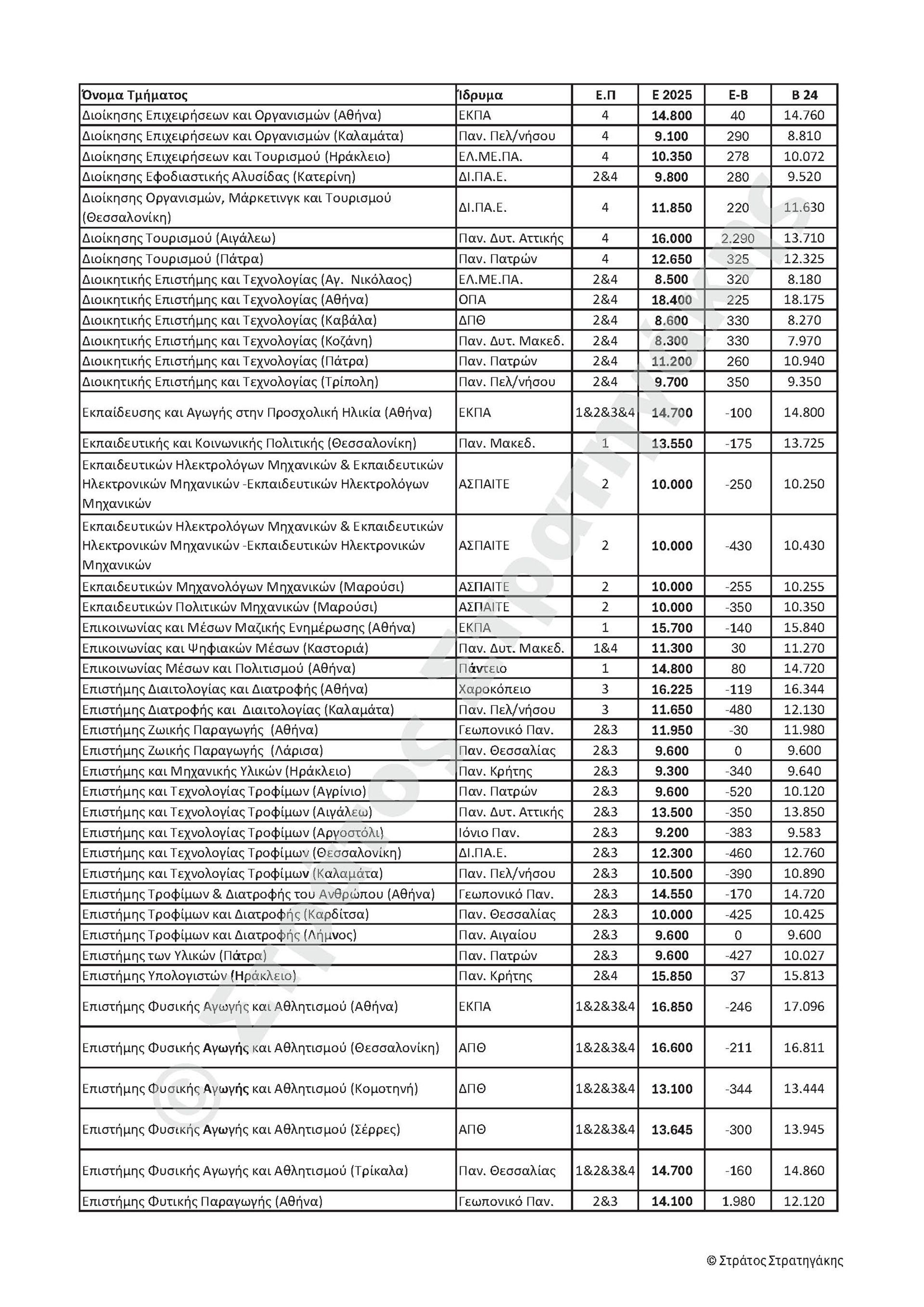
Η «Κ» με τη συνδρομή του μαθηματικού-αναλυτή κ. Στράτου Στρατηγάκη παρουσιάζει την πρόβλεψη των βάσεων εισαγωγής σε όλες τις σχολές των ΑΕΙ. Βασική αρχή είναι να μη δημοσιεύουμε εκτιμήσεις πριν ολοκληρωθεί η κατάθεση των μηχανογραφικών των υποψηφίων, ώστε να μην επηρεαστεί κάποιος υποψήφιος στη δήλωση των σχολών.
Τέσσερις παράγοντες – «Η εκτίμηση των βάσεων εξαρτάται από τον αριθμό των εισακτέων, τις βαθμολογικές επιδόσεις των υποψηφίων, την ελάχιστη βάση εισαγωγής κάθε τμήματος και τις επιθυμίες των υποψηφίων, όπως εκφράζονται στο μηχανογραφικό δελτίο», εξηγεί ο μαθηματικός-αναλυτής Στράτος Στρατηγάκης.
Ενδεικτικά, η πρόβλεψη για περιζήτητες σχολές, που δίνουν τον τόνο και στις υπόλοιπες υψηλόβαθμες σχολές του επιστημονικού πεδίου, είναι πως η Ιατρική Αθηνών θα κινηθεί στις 18.725 μονάδες (-50 μονάδες), η Ιατρική ΑΠΘ στις 18.480 (-70), η Ιατρική Θράκης στις 17.900 (-75), το Η/Υ ΕΜΠ στις 18.650 (+160), το Η/Υ ΑΠΘ στις 18.050 (+130), το Ναυπηγών ΕΜΠ στις 17.950 (+190), η Νομική Αθηνών στις 17.950 (-75), η Νομική ΑΠΘ στις 17.240 (-100), το Πληροφορικής και Τηλεπικοινωνιών ΕΚΠΑ στις 17.300 (+225), το Διοικητικής Επιστήμης και Τεχνολογίας ΟΠΑ στις 18.400 (+225), το Μάρκετινγκ και Επικοινωνίας ΟΠΑ στις 16.050 (+75), το Ψυχολογίας ΕΚΠΑ στις 17.500 (-95) και το Ψυχολογίας ΑΠΘ στις 17.240 μονάδες (-100).
Οπως εξηγεί ο κ. Στρατηγάκης, «η εκτίμηση των βάσεων εξαρτάται από τέσσερις παράγοντες: τον αριθμό των εισακτέων, τις βαθμολογικές επιδόσεις των υποψηφίων, την Ελάχιστη Βάση Εισαγωγής (ΕΒΕ) κάθε τμήματος και τις επιθυμίες των υποψηφίων, όπως εκφράζονται από τη δήλωση των σχολών στο μηχανογραφικό δελτίο». Συγκεκριμένα:
– Ο αριθμός των εισακτέων είναι σταθερός τα τελευταία χρόνια (πλην των στρατιωτικών σχολών), συνεπώς δεν επηρεάζει τις εκτιμήσεις. Τις επηρεάζει, όμως, η συνεχής αύξηση του αριθμού των κοινών τμημάτων, όσων δηλαδή δηλώνονται από περισσότερα από ένα επιστημονικά πεδία. Αυτό δυσχεραίνει την εκτίμηση των βάσεων, διότι δεν είναι γνωστό από ποιο επιστημονικό πεδίο δηλώνονται τα κοινά τμήματα για να γίνει η σύγκριση των βαθμολογικών επιδόσεων.
– Οι βαθμολογικές επιδόσεις των υποψηφίων. Βέβαια, «καθώς από το υπουργείο Παιδείας δεν δημοσιεύονται οι μέσοι όροι των υποψηφίων δεν γνωρίζουμε π.χ. αν ένας υποψήφιος που έγραψε στη Βιολογία 19 έγραψε στη Φυσική 13, οπότε μένει εκτός των Ιατρικών ή έγραψε στη Φυσική 18 οπότε μπορεί να εισαχθεί στην Ιατρική. Αν γνωρίζαμε ότι ο «τάδε» αριθμός των υποψηφίων έχει μέσο όρο μεταξύ 18 και 19 θα μπορούσαμε να εκτιμήσουμε με μεγαλύτερη ακρίβεια τη διαμόρφωση των βάσεων», παρατηρεί ο κ. Στρατηγάκης.
– Η ΕΒΕ του κάθε τμήματος.
– Οι επιθυμίες των υποψηφίων που εκφράζονται στη συμπλήρωση του μηχανογραφικού τους. Οι προτιμήσεις των υποψηφίων αλλάζουν απρόβλεπτα και δημιουργούν εκπλήξεις στη διαμόρφωση των βάσεων, που δεν δικαιολογούνται από τις βαθμολογικές επιδόσεις. Για παράδειγμα, πέρυσι η βάση του Παιδαγωγικού Δημοτικής Εκπαίδευσης Αθήνας μειώθηκε κατά 126 μόρια, ενώ της Θεσσαλονίκης αυξήθηκε κατά 50 μόρια και, τελικά, ισοβάθμησαν στα 16.100 μόρια. Δεν δικαιολογείται από τις βαθμολογικές επιδόσεις να αυξηθεί η βάση στο ένα και να μειωθεί στο άλλο.
Στις εξετάσεις μετείχαν 73.941 υποψήφιοι Γενικών και 14.696 Επαγγελματικών Λυκείων. Βεβαίως, μόνο όσοι ξεπέρασαν την ΕΒΕ του επιστημονικού τους πεδίου μπόρεσαν να υποβάλουν μηχανογραφικό δελτίο για ΑΕΙ. Οι υπόλοιποι είχαν τη δυνατότητα να διεκδικήσουν θέση σε Σχολές Ανώτερης Επαγγελματικής Κατάρτισης (τα δημόσια πρώην ΙΕΚ) καταθέτοντας το «παράλληλο μηχανογραφικό δελτίο».
Στα πανεπιστήμια για το ακαδημαϊκό έτος 2025-2026 ορίστηκαν από το υπουργείο Παιδείας 68.788 θέσεις. Ωστόσο ο τελικός αριθμός των θέσεων ανέρχεται στις 71.700 καθώς προστίθενται οι θέσεις για τις στρατιωτικές σχολές και τις σχολές της αστυνομίας, πυροσβεστικής και εμπορικού ναυτικού. Βέβαια, λόγω της ΕΒΕ δεν θα καλυφθούν όλες οι θέσεις. Πέρυσι έμειναν 10.120 κενές θέσεις. Οι βάσεις εισαγωγής θα ανακοινωθούν, όπως έχει αναφέρει το υπ. Παιδείας, την προσεχή Παρασκευή 25 Ιουλίου.










