Σε 18.094 ανέρχονται τα νέα κρούσματα κορωνοϊού, τα οποία κατεγράφησαν στην Ελλάδα το τελευταίο 24ωρο, σύμφωνα με τον Εθνικό Οργανισμό Δημόσιας Υγείας (ΕΟΔΥ). Σήμερα, Δευτέρα 21 Φεβρουαρίου 2022, ανακοινώθηκαν 88 θάνατοι. Επίσης, πραγματοποιήθηκε ενσωμάτωση 2 θανάτων που καταγράφηκαν με καθυστέρηση στο Εθνικό Μητρώο COVID-19. Διασωληνωμένοι σε Μονάδες Εντατικής Θεραπείας (ΜΕΘ) νοσηλεύονται 460 ασθενείς.
Το τελευταίο 24ωρο διενεργήθηκαν 123.759 εργαστηριακά τεστ (PCR και rapid), με τη θετικότητα να ανέρχεται σε 14,62%. O μέσος όρος του επταημέρου είναι 314.950 δειγματοληπτικοί έλεγχοι.
| Συγκεντρωτικά στοιχεία |
21/2/2022 | 20/2/2022 | 19/2/2022 | 18/2/2022 | 17/2/2022 | 16/2/2022 | 15/2/2022 | 14/2/2022 |
| Νέα κρούσματα |
18.094 | 9.596 | 15.305 | 18.605 | 19.504 | 19.509 | 21.412 | 20.361 |
| Σύνολο κρουσμάτων |
2.317.014 | 2.298.926 | 2.289.330 | 2.274.025 | 2.255.421 | 2.235.920 | 2.216.411 | 2.194.453 |
| Κρούσματα στην Αττική |
5.890 | 3.231 | 5.142 | 5.899 | 6.062 | 5.918 | 6.272 | 5.455 |
| Κρούσματα στη Θεσσαλονίκη |
1.807 | 1.002 | 1.559 | 2.016 | 2.112 | 2.140 | 2.375 | 2.202 |
| Νέοι θάνατοι |
88 | 67 | 77 | 80 | 93 | 82 | 77 | 78 |
| Σύνολο θανάτων * |
25.417 | 25.327 | 25.260 | 25.183 | 25.095 | 25.001 | 24.917 | 24.836 |
| Διασωληνωμένοι σε ΜΕΘ |
460 | 471 | 463 | 470 | 484 | 485 | 489 | 494 |
| Ανεμβολίαστοι διασωληνωμένοι |
339 | 346 | 344 | 349 | 359 | 364 | 369 | 374 |
| Εισαγωγές σε νοσοκομεία |
301 | 329 | 361 | 372 | 375 | 448 | 343 | 352 |
| Τεστ τελευταίου 24ωρου |
123.759 | 214.261 | 330.788 | 382.391 | 305.383 | 331.538 | 516.533 | 125.484 |
| Σύνολο PCR τεστ |
9.765.716 | 9.756.631 | 9.743.449 | 9.718.665 | 9.692.883 | 9.666.889 | 9.640.382 | 9.603.759 |
| Σύνολο rapid test |
53.704.681 | 53.590.007 | 53.388.928 | 53.082.924 | 52.726.315 | 52.446.926 | 52.141.895 | 51.661.985 |
| Θετικότητα (%) |
14,62% | 4,48% | 4,63% | 4,87% | 6,39% | 5,88% | 4,15% | 16,23% |
* Πραγματοποιήθηκε ενσωμάτωση 2 θανάτων που καταγράφηκαν με καθυστέρηση στο Εθνικό Μητρώο COVID-19.
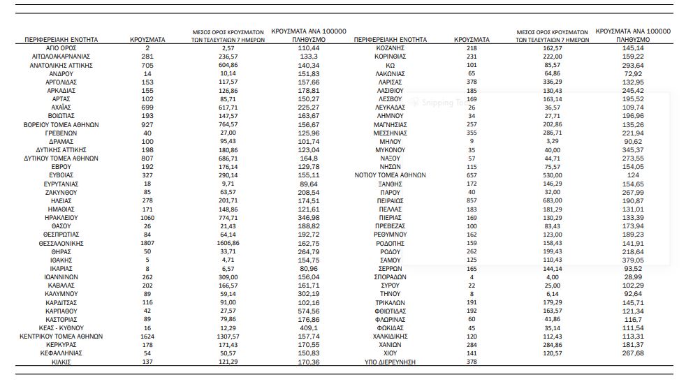
Κρούσματα σήμερα ανά περιοχή
Από το σύνολο των 18.094 νέων κρουσμάτων, 67 είναι εισαγόμεναεκ των οποίων 56 εντοπίστηκαν κατόπιν ελέγχων στις πύλες εισόδου της χώρας. Στις Περιφερειακές Ενότητες Αττικής εντοπίστηκαν 5.890 νέα κρούσματα και στη Θεσσαλονίκη 1.807.
Η κατανομή των νέων εγχώριων κρουσμάτων ανά Περιφερειακή Ενότητα:
- 705 κρούσματα στην Π.Ε. Ανατολικής Αττικής
- 927 κρούσματα στην Π.Ε. Βόρειου Τομέα Αθηνών
- 198 κρούσματα στην Π.Ε. Δυτικής Αττικής
- 807 κρούσματα στην Π.Ε. Δυτικού Τομέα Αθηνών
- 1.624 κρούσματα στην Π.Ε. Κεντρικού Τομέα Αθηνών
- 657 κρούσματα στην Π.Ε. Νοτίου Τομέα Αθηνών
- 857 κρούσματα στην Π.Ε. Πειραιώς
- 115 κρούσματα στην Π.Ε. Νήσων
- 1.807 κρούσματα στην Π.Ε. Θεσσαλονίκης
- 2 κρούσματα στο Άγιον Όρος
- 281 κρούσματα στην Π.Ε. Αιτωλοακαρνανίας
- 14 κρούσματα στην Π.Ε. Ανδρου
- 153 κρούσματα στην Π.Ε. Αργολίδας
- 155 κρούσματα στην Π.Ε. Αρκαδίας
- 102 κρούσματα στην Π.Ε. Άρτας
- 699 κρούσματα στην Π.Ε. Αχαΐας
- 193 κρούσματα στην Π.Ε. Βοιωτίας
- 40 κρούσματα στην Π.Ε. Γρεβενών
- 100 κρούσματα στην Π.Ε. Δράμας
- 192 κρούσματα στην Π.Ε. Έβρου
- 327 κρούσματα στην Π.Ε. Εύβοιας
- 18 κρούσματα στην Π.Ε. Ευρυτανίας
- 85 κρούσματα στην Π.Ε. Ζακύνθου
- 278 κρούσματα στην Π.Ε. Ηλείας
- 171 κρούσματα στην Π.Ε Ημαθίας
- 1.060 κρούσματα στην Π.Ε. Ηρακλείου
- 26 κρούσματα στην Π.Ε. Θάσου
- 84 κρούσματα στην Π.Ε. Θεσπρωτίας
- 50 κρούσματα στην Π.Ε. Θήρας
- 5 κρούσματα στην Π.Ε. Ιθάκης
- 8 κρούσματα στην Π.Ε. Ικαρίας
- 262 κρούσματα στην Π.Ε. Ιωαννίνων
- 202 κρούσματα στην Π.Ε. Καβάλας
- 89 κρούσματα στην Π.Ε Καλύμνου
- 116 κρούσματα στην Π.Ε. Καρδίτσας
- 42 κρούσματα στην Π.Ε. Καρπάθου
- 89 κρούσματα στην Π.Ε. Καστοριάς
- 16 κρούσματα στην Π.Ε Κέας-Κύθνου
- 178 κρούσματα στην Π.Ε. Κέρκυρας
- 54 κρούσματα στην Π.Ε. Κεφαλληνίας
- 137 κρούσματα στην Π.Ε. Κιλκίς
- 218 κρούσματα στην Π.Ε Κοζάνης
- 231 κρούσματα στην Π.Ε. Κορινθίας
- 101 κρούσματα στην Π.Ε. Κω
- 65 κρούσματα στην Π.Ε. Λακωνίας
- 378 κρούσματα στην Π.Ε Λάρισας
- 185 κρούσματα στην Π.Ε. Λασιθίου
- 169 κρούσματα στην Π.Ε. Λέσβου
- 26 κρούσματα στην Π.Ε. Λευκάδας
- 34 κρούσματα στην Π.Ε. Λήμνου
- 257 κρούσματα στην Π.Ε. Μαγνησίας
- 355 κρούσματα στην Π.Ε. Μεσσηνίας
- 9 κρούσματα στην Π.Ε Μήλου
- 35 κρούσματα στην Π.Ε. Μυκόνου
- 57 κρούσματα στην Π.Ε. Νάξου
- 172 κρούσματα στην Π.Ε. Ξάνθης
- 40 κρούσματα στην Π.Ε. Πάρου
- 183 κρούσματα στην Π.Ε. Πέλλας
- 169 κρούσματα στην Π.Ε. Πιερίας
- 100 κρούσματα στην Π.Ε. Πρέβεζας
- 162 κρούσματα στην Π.Ε. Ρεθύμνου
- 159 κρούσματα στην Π.Ε. Ροδόπης
- 262 κρούσματα στην Π.Ε. Ρόδου
- 125 κρούσματα στην Π.Ε. Σάμου
- 165 κρούσματα στην Π.Ε. Σερρών
- 4 κρούσματα στην Π.Ε. Σποράδων
- 22 κρούσματα στην Π.Ε. Σύρου
- 8 κρούσματα στην Π.Ε. Τήνου
- 191 κρούσματα στην Π.Ε. Τρικάλων
- 192 κρούσματα στην Π.Ε. Φθιώτιδας
- 60 κρούσματα στην Π.Ε. Φλώρινας
- 45 κρούσματα στην Π.Ε. Φωκίδας
- 120 κρούσματα στην Π.Ε. Χαλκιδικής
- 284 κρούσματα στην Π.Ε. Χανίων
- 141 κρούσματα στην Π.Ε Χίου
- 378 κρούσματα υπό διερεύνηση.

Η εικόνα στα νοσοκομεία
Ο αριθμός των ασθενών που νοσηλεύονται διασωληνωμένοι είναι 460 (64.3% άνδρες). Η διάμεση ηλικία τους είναι 67 έτη. To 87.4% έχει υποκείμενο νόσημα ή/και ηλικία 70 ετών και άνω. Μεταξύ των ασθενών που νοσηλεύονται διασωληνωμένοι, 339 (73.7%) είναι ανεμβολίαστοι ή μερικώς εμβολιασμένοι και 121 (26.3%) είναι πλήρως εμβολιασμένοι. Από την αρχή της πανδημίας έχουν εξέλθει από τις ΜΕΘ 4.217 ασθενείς.
Οι εισαγωγές νέων ασθενών Covid-19 στα νοσοκομεία της επικράτειας ήταν χθες 301 (ημερήσια μεταβολή -8.51%). Ο μέσος όρος εισαγωγών του επταημέρου είναι 361 ασθενείς. Η διάμεση ηλικία των κρουσμάτων είναι 35 έτη (εύρος 0.2 έως 106 έτη), ενώ η διάμεση ηλικία των θανόντων είναι 79 έτη (εύρος 0.2 έως 106 έτη).
Πλεύρης: Αρση μέτρων έως τέλη Μαρτίου για τους εμβολιασμένους
Eως τα τέλη Μαρτίου θα έχουν αρθεί όλα τα μέτρα που ισχύουν για τους εμβολιασμένους επανέλαβε σε συνέντευξή του, ο υπουργός Υγείας Θάνος Πλεύρης, τονίζοντας πάντως ότι η πανδημία δεν έχει τελειώσει. «Θεωρώ ότι έως τα τέλη Μαρτίου θα έχουν αρθεί τα μέτρα που ισχύουν για τους εμβολιασμένους. Υπάρχουν μέτρα όπως η χρήση μάσκας και οι αποστάσεις που θα συνεχίσουν να ισχύουν. Για τους ανεμβολίαστους δεν είμαστε ακόμη σε αυτήν την κουβέντα, θα παραμείνουν τα μέτρα», ανέφερε ο υπουργός Υγείας μιλώντας στον ΑΝΤ1.
Σε ό,τι αφορά τους ανεμβολίαστους υγειονομικούς, ο κ. Πλεύρης είπε πως «δεν υπάρχει σενάριο επιστροφής τους την 1η Απριλίου. Δύο είναι τα σενάρια: ή θα αποτελεί τυπικό προσόν ο εμβολιασμός και επομένως δεν θα μπορεί να παραμείνει στο ΕΣΥ ή θα επεκταθεί η αναστολή σύμβασης για όσο κρατήσει η πανδημία». «Η εισήγηση η δική μου, ασχέτως με την πανδημία, είναι ο εμβολιασμός να αποτελεί τυπικό προσόν και επομένως όποιος δεν εμβολιαστεί δεν θα παραμείνει στο ΕΣΥ», επεσήμανε ο υπ. Υγείας.
Τόνισε ακόμη ότι επανεξετάζονται συνολικά οι σχέσεις εργασίας στο ΕΣΥ και σε σχέση με τους ιδιώτες γιατρούς. «Θέλουμε να ανοίξουμε θεσμοθετημένα την δυνατότητα ιδιωτών γιατρών να παρέχουν υπηρεσία part time σε νοσοκομεία, όπου υπάρχουν κενά και όπου υπάρχουν προκηρύξεις και συμβάσεις που δεν καλύπτονται».
Ζαούτης: Η Όμικρον θα φέρει το τέλος της έντονης φάσης της πανδημίας
Την εκτίμηση ότι η μετάλλαξη Όμικρον θα φέρει πιθανώς το τέλος της έντονης φάσης της πανδημίας εξέφρασε ο πρόεδρος του Εθνικού Οργανισμού Δημόσιας Υγείας (ΕΟΔΥ), Θεοκλής Ζαούτης, προειδοποιώντας πάντως ότι τα πάντα θα μπορούσαν να αλλάξουν με την εμφάνιση μιας νέας μετάλλαξης, αν και -όπως τόνισε- θεωρείται δύσκολο να μην καλύπτουν τα εμβόλια ένα νέο στέλεχος ως προς τη σοβαρή νόσο.
Μιλώντας στο Πρώτο Πρόγραμμα, ο πρόεδρος του ΕΟΔΥ και καθηγητής Παιδιατρικής και Επιδημιολογίας ΕΚΠΑ επεσήμανε ότι υπάρχει ένα επίπεδο ανοσίας στον πληθυσμό που θα λειτουργήσει και απέναντι σε νέα στελέχη. Είπε επίσης ότι στο επίκεντρο της συζήτησης δεν βρίσκεται πια αν ο ιός κυκλοφορεί και εάν τον κολλάμε, αλλά οι νοσηλείες, η σοβαρή νόσος και οι θάνατοι.
«Καμπανάκι» από Καπραβέλο
«Καμπανάκι» κινδύνου για την πιθανότητα να προκύψει νέο πανδημικό κύμα, «χτύπησε» από την πλευρά του ο Νίκος Καπραβέλος, μιλώντας στον ΣΚΑΪ. Ο διευθυντής της Β’ ΜΕΘ του νοσοκομείου «Παπανικολάου» Θεσσαλονίκης δήλωσε πως αυτή τη στιγμή η πανδημία παρουσιάζει σημάδια ύφεσης ωστόσο συστήνει να μην υπάρξει χαλάρωση.
«Βρισκόμαστε σε ύφεση αλλά είναι πάρα πολύ επικίνδυνα τα πράγματα. Όταν λέμε ύφεση δεν σημαίνει χαλάρωση, η ύφεση είναι πριν από την καταιγίδα. Ρίχνουμε λάδι στη φωτιά κατά τη διάρκεια της ύφεσης και μετά πάμε να μαζέψουμε την φωτιά όταν αυτή γίνεται ανεξέλεγκτη», είπε. Ερωτηθείς για το αν ο ίδιος αναμένει να υπάρξει νέο κύμα απάντησε «προφανώς», σημειώνοντας πως υπάρχει περίπτωση να εμφανιστεί και ένα καινούργιο στέλεχος του ιού.
Μόσιαλος για «Όμικρον»: Είναι πιο επικίνδυνη η υποπαραλλαγή ΒΑ.2;
Ακολουθήστε το kathimerini.gr στο Google News και μάθετε πρώτοι όλες τις ειδήσεις
Δείτε όλες τις τελευταίες Ειδήσεις από την Ελλάδα και τον Κόσμο, στο kathimerini.gr

