Σε 20.361 ανέρχονται τα νέα κρούσματα κορωνοϊού, τα οποία κατεγράφησαν στην Ελλάδα το τελευταίο 24ωρο, σύμφωνα με τον Εθνικό Οργανισμό Δημόσιας Υγείας (ΕΟΔΥ). Σήμερα, Δευτέρα 14 Φεβρουαρίου 2022, ανακοινώθηκαν 78 θάνατοι. Επίσης, πραγματοποιήθηκε ενσωμάτωση 4 θανάτων που καταγράφηκαν με καθυστέρηση στο Εθνικό Μητρώο COVID-19. Διασωληνωμένοι σε Μονάδες Εντατικής Θεραπείας (ΜΕΘ) νοσηλεύονται 494 ασθενείς.
| Συγκεντρωτικά στοιχεία |
14/2/2022 | 13/2/2022 | 12/2/2022 | 11/2/2022 | 10/2/2022 | 9/2/2022 | 8/2/2022 | 7/2/2022 |
| Νέα κρούσματα |
20.361 | 10.853 | 16.442 | 17.656 | 19.154 | 19.618 | 22.889 | 18.855 |
| Σύνολο κρουσμάτων |
2.194.453 | 2.174.093 | 2.163.240 | 2.146.798 | 2.129.153 | 2.109.999 | 2.090.383 | 2.066.696 |
| Κρούσματα στην Αττική |
5.455 | 2.944 | 4.664 | 4.915 | 5.012 | 5.101 | 6.000 | 4.698 |
| Κρούσματα στη Θεσσαλονίκη |
2.202 | 1.269 | 1.966 | 2.112 | 2.316 | 2.391 | 2.878 | 2.394 |
| Νέοι θάνατοι |
78 | 72 | 66 | 92 | 93 | 87 | 108 | 109 |
| Σύνολο θανάτων * |
24.836 | 24.754 | 24.679 | 24.609 | 24.507 | 24.410 | 24.322 | 24.210 |
| Διασωληνωμένοι σε ΜΕΘ |
494 | 499 | 507 | 512 | 516 | 515 | 524 | 549 |
| Ανεμβολίαστοι διασωληνωμένοι |
374 | 382 | 386 | 389 | 396 | 395 | 407 | 427 |
| Εισαγωγές σε νοσοκομεία |
352 | 369 | 358 | 395 | 493 | 441 | 424 | 364 |
| Τεστ τελευταίου 24ωρου |
125.484 | 212.564 | 338.833 | 394.084 | 308.950 | 326.246 | 511.462 | 125.708 |
| Σύνολο PCR τεστ |
9.603.759 | 9.593.570 | 9.579.895 | 9.554.511 | 9.527.233 | 9.500.990 | 9.474.172 | 9.440.562 |
| Σύνολο rapid test |
51.661.985 | 51.546.690 | 51.347.801 | 51.034.352 | 50.667.546 | 50.384.839 | 50.085.411 | 49.607.559 |
| Θετικότητα (%) |
16,23% | 5,11% | 4,85% | 4,48% | 6,20% | 6,01% | 4,48% | 15,00% |
* Πραγματοποιήθηκε ενσωμάτωση 4 θανάτων που καταγράφηκαν με καθυστέρηση στο Εθνικό Μητρώο COVID-19.



Κρούσματα σήμερα ανά περιοχή
Στην Αττική εντοπίστηκαν 5.455 νέα κρούσματα, ενώ στη Θεσσαλονίκη 2.202.
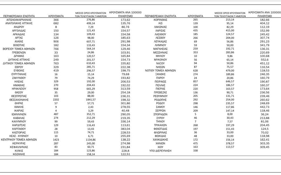
Η γεωγραφική κατανομή των 20.361 κρουσμάτων covid-19 που ανακοίνωσε σήμερα ο ΕΟΔΥ έχει ως εξής:
- 682 κρούσματα στην Π.Ε. Ανατολικής Αττικής
- 766 κρούσματα στην Π.Ε. Βόρειου Τομέα Αθηνών
- 249 κρούσματα στην Π.Ε. Δυτικής Αττικής
- 763 κρούσματα στην Π.Ε. Δυτικού Τομέα Αθηνών
- 1.423 κρούσματα στην Π.Ε. Κεντρικού Τομέα Αθηνών
- 628 κρούσματα στην Π.Ε. Νοτίου Τομέα Αθηνών
- 857 κρούσματα στην Π.Ε. Πειραιώς
- 87 κρούσματα στην Π.Ε. Νήσων
- 2.202 κρούσματα στην Π.Ε. Θεσσαλονίκης
- 366 κρούσματα στην Π.Ε. Αιτωλοακαρνανίας
- 8 κρούσματα στην Π.Ε. Άνδρου
- 150 κρούσματα στην Π.Ε. Αργολίδας
- 134 κρούσματα στην Π.Ε. Αρκαδίας
- 126 κρούσματα στην Π.Ε. Άρτας
- 906 κρούσματα στην Π.Ε. Αχαΐας
- 182 κρούσματα στην Π.Ε. Βοιωτίας
- 33 κρούσματα στην Π.Ε. Γρεβενών
- 163 κρούσματα στην Π.Ε. Δράμας
- 329 κρούσματα στην Π.Ε. Έβρου
- 419 κρούσματα στην Π.Ε. Εύβοιας
- 16 κρούσματα στην Π.Ε. Ευρυτανίας
- 79 κρούσματα στην Π.Ε. Ζακύνθου
- 329 κρούσματα στην Π.Ε. Ηλείας
- 270 κρούσματα στην Π.Ε Ημαθίας
- 958 κρούσματα στην Π.Ε. Ηρακλείου
- 35 κρούσματα στην Π.Ε. Θάσου
- 103 κρούσματα στην Π.Ε. Θεσπρωτίας
- 57 κρούσματα στην Π.Ε. Θήρας
- 9 κρούσματα στην Π.Ε. Ιθάκης
- 4 κρούσματα στην Π.Ε. Ικαρίας
- 487 κρούσματα στην Π.Ε. Ιωαννίνων
- 274 κρούσματα στην Π.Ε. Καβάλας
- 99 κρούσματα στην Π.Ε Καλύμνου
- 129 κρούσματα στην Π.Ε. Καρδίτσας
- 28 κρούσματα στην Π.Ε. Καρπάθου
- 115 κρούσματα στην Π.Ε. Καστοριάς
- 10 κρούσματα στην Π.Ε Κέας-Κύθνου
- 287 κρούσματα στην Π.Ε. Κέρκυρας
- 83 κρούσματα στην Π.Ε. Κεφαλληνίας
- 184 κρούσματα στην Π.Ε. Κιλκίς
- 184 κρούσματα στην Π.Ε Κοζάνης
- 265 κρούσματα στην Π.Ε. Κορινθίας
- 139 κρούσματα στην Π.Ε. Κω
- 100 κρούσματα στην Π.Ε. Λακωνίας
- 435 κρούσματα στην Π.Ε Λάρισας
- 185 κρούσματα στην Π.Ε. Λασιθίου
- 266 κρούσματα στην Π.Ε. Λέσβου
- 69 κρούσματα στην Π.Ε. Λευκάδας
- 59 κρούσματα στην Π.Ε. Λήμνου
- 259 κρούσματα στην Π.Ε. Μαγνησίας
- 353 κρούσματα στην Π.Ε. Μεσσηνίας
- 10 κρούσματα στην Π.Ε Μήλου
- 56 κρούσματα στην Π.Ε. Μυκόνου
- 94 κρούσματα στην Π.Ε. Νάξου
- 274 κρούσματα στην Π.Ε. Ξάνθης
- 24 κρούσματα στην Π.Ε. Πάρου
- 224 κρούσματα στην Π.Ε. Πέλλας
- 220 κρούσματα στην Π.Ε. Πιερίας
- 136 κρούσματα στην Π.Ε. Πρέβεζας
- 205 κρούσματα στην Π.Ε. Ρεθύμνου
- 292 κρούσματα στην Π.Ε. Ροδόπης
- 298 κρούσματα στην Π.Ε. Ρόδου
- 146 κρούσματα στην Π.Ε. Σάμου
- 209 κρούσματα στην Π.Ε. Σερρών
- 5 κρούσματα στην Π.Ε. Σποράδων
- 46 κρούσματα στην Π.Ε. Σύρου
- 7 κρούσματα στην Π.Ε. Τήνου
- 268 κρούσματα στην Π.Ε. Τρικάλων
- 197 κρούσματα στην Π.Ε. Φθιώτιδας
- 36 κρούσματα στην Π.Ε. Φλώρινας
- 48 κρούσματα στην Π.Ε. Φωκίδας
- 172 κρούσματα στην Π.Ε. Χαλκιδικής
- 475 κρούσματα στην Π.Ε. Χανίων
- 163 κρούσματα στην Π.Ε Χίου
- 338 κρούσματα υπό διερεύνηση.

Χαλάρωση μέτρων εισηγείται η κυβέρνηση
Προς την κατεύθυνση μερικής χαλάρωσης των περιοριστικών μέτρων κατά της πανδημίας θα κινηθεί, σύμφωνα με πληροφορίες, η εισήγηση της κυβέρνησης προς την επιτροπή των ειδικών.
Κατά τις ίδιες πληροφορίες, το Μαξίμου θα εισηγηθεί αύξηση πληρότητας στα γήπεδα άνω του 50%, επαναφορά των ορθίων στη διασκέδαση και επιστροφή των σχολικών εκδρομών.
Ανάλογο αίτημα, ως προς τα γήπεδα, είχε γίνει και την προηγούμενη εβδομάδα, ωστόσο η επιτροπή δεν το ενέκρινε, διατηρώντας το πλαφόν του 10% επί της χωρητικότητας των γηπέδων, με ανώτατο όριο τα 1.000 άτομα.
Μόσιαλος για «Όμικρον»: Είναι αποτελεσματικά τα μονοκλωνικά αντισώματα;
Χαλάρωση μέτρων εισηγείται η κυβέρνηση
Ακολουθήστε το kathimerini.gr στο Google News και μάθετε πρώτοι όλες τις ειδήσεις
Δείτε όλες τις τελευταίες Ειδήσεις από την Ελλάδα και τον Κόσμο, στο kathimerini.gr

