Τα κρούσματα του κορωνοϊού διατηρούνται σε πενταψήφια νούμερα, καθώς η μετάλλαξη Όμικρον συνεχίζει την επέλαση της.
Συγκεκριμένα, σε 18.592 ανέρχονται οι νέες μολύνσεις κορωνοϊού στη χώρα το τελευταίο 24ωρο, σύμφωνα με την ενημέρωση του ΕΟΔΥ. Κατά το ίδιο διάστημα, κατεγράφησαν 66 θάνατοι.
Παράλληλα, σε 642 ανέρχονται οι διασωληνωμένοι ασθενείς στις Μονάδες Εντατικής Θεραπείας.
Διενεργήθηκαν 230.237 τεστ και η θετικότητα ανέρχεται στο 8,07%.
Από τα συνολικά κρούσματα, 6.853 εντοπίζονται στην Αττική (14.709 χθες) και 2.065 στη Θεσσαλονίκη (4.145 χθες).
Αναλυτικά η ανακοίνωση
Τα νέα εργαστηριακά επιβεβαιωμένα κρούσματα της νόσου που καταγράφηκαν τις τελευταίες 24 ώρες είναι 18.592, εκ των οποίων 97 εντοπίστηκαν κατόπιν ελέγχων στις πύλες εισόδου της χώρας.
Ο συνολικός αριθμός των κρουσμάτων ανέρχεται σε 1.507.616 (ημερήσια μεταβολή +1.2%), εκ των οποίων 50.0% άνδρες.
Με βάση τα επιβεβαιωμένα κρούσματα των τελευταίων 7 ημερών, 588 θεωρούνται σχετιζόμενα με ταξίδι από το εξωτερικό και 1.767 είναι σχετιζόμενα με ήδη γνωστό κρούσμα.

Οι νέοι θάνατοι ασθενών με COVID-19 είναι 66, ενώ από την έναρξη της επιδημίας έχουν καταγραφεί συνολικά 21.394 θάνατοι.
Το 95.1% είχε υποκείμενο νόσημα ή/και ηλικία 70 ετών και άνω.

Ο αριθμός των ασθενών που νοσηλεύονται διασωληνωμένοι είναι 642 (58.4% άνδρες). Η διάμεση ηλικία τους είναι 64 έτη. To 80.5% έχει υποκείμενο νόσημα ή/και ηλικία 70 ετών και άνω.
Μεταξύ των ασθενών που νοσηλεύονται διασωληνωμένοι, 545 (84.89%) είναι ανεμβολίαστοι ή μερικώς εμβολιασμένοι και 97 (15.11%) είναι πλήρως εμβολιασμένοι. Από την αρχή της πανδημίας έχουν εξέλθει από τις ΜΕΘ 3.822 ασθενείς.
Οι εισαγωγές νέων ασθενών Covid-19 στα νοσοκομεία της επικράτειας είναι 632 (ημερήσια μεταβολή +21.07%).
Ο μέσος όρος εισαγωγών του επταημέρου είναι 556 ασθενείς. Η διάμεση ηλικία των κρουσμάτων είναι 36 έτη (εύρος 0.2 έως 106 έτη), ενώ η διάμεση ηλικία των θανόντων είναι 78 έτη (εύρος 0.2 έως 106 έτη).
Κατανομή ανακοινωθέντων εγχώριων κρουσμάτων: Από το σύνολο των 18.592 νέων κρουσμάτων του νέου ιού στη χώρα 112 είναι εισαγόμενα εκ των οποίων 97 εντοπίστηκαν κατόπιν ελέγχων στις πύλες εισόδου της χώρας.

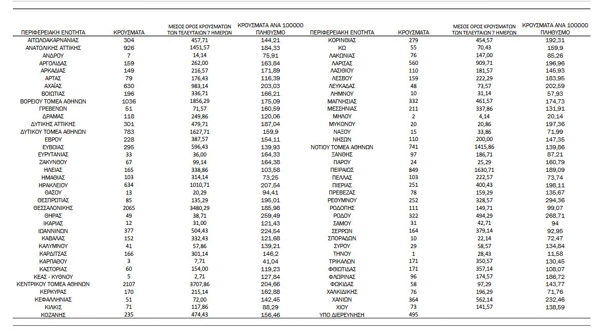
Η γεωγραφική κατανομή:
- 926 κρούσματα στην Π.Ε. Ανατολικής Αττικής
- 1.036 κρούσματα στην Π.Ε. Βόρειου Τομέα Αθηνών
- 301 κρούσματα στην Π.Ε. Δυτικής Αττικής
- 783 κρούσματα στην Π.Ε. Δυτικού Τομέα Αθηνών
- 2.107 κρούσματα στην Π.Ε. Κεντρικού Τομέα Αθηνών
- 741 κρούσματα στην Π.Ε. Νοτίου Τομέα Αθηνών
- 849 κρούσματα στην Π.Ε. Πειραιώς
- 110 κρούσματα στην Π.Ε. Νήσων
- 2.065 κρούσματα στην Π.Ε. Θεσσαλονίκης
- 304 κρούσματα στην Π.Ε. Αιτωλοακαρνανίας
- 7 κρούσματα στην Π.Ε. Άνδρου
- 159 κρούσματα στην Π.Ε. Αργολίδας
- 149 κρούσματα στην Π.Ε. Αρκαδίας
- 79 κρούσματα στην Π.Ε. Άρτας
- 630 κρούσματα στην Π.Ε. Αχαΐας
- 196 κρούσματα στην Π.Ε. Βοιωτίας
- 51 κρούσματα στην Π.Ε. Γρεβενών
- 118 κρούσματα στην Π.Ε. Δράμας
- 228 κρούσματα στην Π.Ε. Έβρου
- 295 κρούσματα στην Π.Ε. Εύβοιας
- 33 κρούσματα στην Π.Ε. Ευρυτανίας
- 67 κρούσματα στην Π.Ε. Ζακύνθου
- 165 κρούσματα στην Π.Ε. Ηλείας
- 103 κρούσματα στην Π.Ε Ημαθίας
- 634 κρούσματα στην Π.Ε. Ηρακλείου
- 13 κρούσματα στην Π.Ε. Θάσου
- 85 κρούσματα στην Π.Ε. Θεσπρωτίας
- 49 κρούσματα στην Π.Ε. Θήρας
- 12 κρούσματα στην Π.Ε. Ικαρίας
- 377 κρούσματα στην Π.Ε. Ιωαννίνων
- 152 κρούσματα στην Π.Ε. Καβάλας
- 41 κρούσματα στην Π.Ε Καλύμνου
- 166 κρούσματα στην Π.Ε. Καρδίτσας
- 3 κρούσματα στην Π.Ε. Καρπάθου
- 60 κρούσματα στην Π.Ε. Καστοριάς
- 5 κρούσματα στην Π.Ε. Κέας-Κύθνου
- 170 κρούσματα στην Π.Ε. Κέρκυρας
- 51 κρούσματα στην Π.Ε. Κεφαλληνίας
- 71 κρούσματα στην Π.Ε. Κιλκίς
- 235 κρούσματα στην Π.Ε Κοζάνης
- 279 κρούσματα στην Π.Ε. Κορινθίας
- 55 κρούσματα στην Π.Ε. Κω
- 76 κρούσματα στην Π.Ε. Λακωνίας
- 560 κρούσματα στην Π.Ε Λάρισας
- 110 κρούσματα στην Π.Ε. Λασιθίου
- 159 κρούσματα στην Π.Ε. Λέσβου
- 48 κρούσματα στην Π.Ε. Λευκάδας
- 10 κρούσματα στην Π.Ε. Λήμνου
- 332 κρούσματα στην Π.Ε. Μαγνησίας
- 211 κρούσματα στην Π.Ε. Μεσσηνίας
- 2 κρούσματα στην Π.Ε Μήλου
- 20 κρούσματα στην Π.Ε. Μυκόνου
- 15 κρούσματα στην Π.Ε. Νάξου
- 97 κρούσματα στην Π.Ε. Ξάνθης
- 24 κρούσματα στην Π.Ε. Πάρου
- 103 κρούσματα στην Π.Ε. Πέλλας
- 251 κρούσματα στην Π.Ε. Πιερίας
- 78 κρούσματα στην Π.Ε. Πρέβεζας
- 252 κρούσματα στην Π.Ε. Ρεθύμνου
- 111 κρούσματα στην Π.Ε. Ροδόπης
- 322 κρούσματα στην Π.Ε. Ρόδου
- 31 κρούσματα στην Π.Ε. Σάμου
- 164 κρούσματα στην Π.Ε. Σερρών
- 10 κρούσματα στην Π.Ε. Σποράδων
- 29 κρούσματα στην Π.Ε. Σύρου
- 1 κρούσμα στην Π.Ε. Τήνου
- 171 κρούσματα στην Π.Ε. Τρικάλων
- 171 κρούσματα στην Π.Ε. Φθιώτιδας
- 96 κρούσματα στην Π.Ε. Φλώρινας
- 58 κρούσματα στην Π.Ε. Φωκίδας
- 76 κρούσματα στην Π.Ε. Χαλκιδικής
- 364 κρούσματα στην Π.Ε. Χανίων
- 73 κρούσματα στην Π.Ε Χίου
- 495 κρούσματα υπό διερεύνηση
Ακολουθήστε το kathimerini.gr στο Google News και μάθετε πρώτοι όλες τις ειδήσεις
Δείτε όλες τις τελευταίες Ειδήσεις από την Ελλάδα και τον Κόσμο, στο kathimerini.gr

