Στα 520 ανήλθαν τα νέα κρούσματα του κορωνοϊού, σύμφωνα με την ημερήσια ενημέρωση του Εθνικού Οργανισμού Δημόσιας Υγείας. Παράλληλα καταγράφηκαν 14 νέοι θάνατοι, ενώ 271 ασθενείς παραμένουν διασωληνωμένοι στις Μονάδες Εντατικής Θεραπείας ανά την Ελλάδα.
Διεξήχθησαν 45.719 τεστ και η θετικότητα ανήλθε στο 1,13%.
Από τα παραπάνω κρούσματα, τα 225 εντοπίζονται στην Αττική (213 χθες), ενώ 41 αφορούν στη Θεσσαλονίκη (32 χθες).
Αναλυτικά η ανακοίνωση του ΕΟΔΥ
Τα νέα εργαστηριακά επιβεβαιωμένα κρούσματα της νόσου που καταγράφηκαν τις τελευταίες 24 ώρες είναι 520, εκ των οποίων 1 εντοπίστηκε κατόπιν ελέγχων στις πύλες εισόδου της χώρας.
Ο συνολικός αριθμός των κρουσμάτων ανέρχεται σε 419.455 (ημερήσια μεταβολή +0.1%), εκ των οποίων 51.2% άνδρες.
Με βάση τα επιβεβαιωμένα κρούσματα των τελευταίων 7 ημερών, 34 θεωρούνται σχετιζόμενα με ταξίδι από το εξωτερικό και 582 είναι σχετιζόμενα με ήδη γνωστό κρούσμα.
To𝑅𝑡για την επικράτεια εκτιμάται σε0.81 (95%Crl: 0.16 – 1.83).
Ημερήσια εξέλιξη της πανδημίας: Η ημερήσια κατανομή των επιβεβαιωμένων κρουσμάτων είναι η ακόλουθη (η γραμμή παριστάνει την συνολική, αθροιστική κατανομή των κρουσμάτων).

Οι νέοι θάνατοι ασθενών με COVID-19 είναι14, ενώ από την έναρξη της επιδημίας έχουν καταγραφεί συνολικά 12.595 θάνατοι.
Το 95.2% είχε υποκείμενο νόσημα ή/και ηλικία 70 ετών και άνω.

Ο αριθμός των ασθενών που νοσηλεύονται διασωληνωμένοι είναι 271 (63.5% άνδρες).
Η διάμεση ηλικία τους είναι 67 έτη. To 82.7% έχει υποκείμενο νόσημα ή/και ηλικία 70 ετών και άνω. Από την αρχή της πανδημίας έχουν εξέλθει από τις ΜΕΘ 2.628 ασθενείς.
Οι εισαγωγές νέων ασθενών Covid-19 στα νοσοκομεία της επικράτειας είναι 50 (ημερήσια μεταβολή-15.25%).
Ο μέσος όρος εισαγωγών του επταημέρου είναι 59 ασθενείς. Η διάμεση ηλικία των κρουσμάτων είναι 43 έτη (εύρος 0.2 έως 106 έτη), ενώ η διάμεση ηλικία των θανόντων είναι78 έτη (εύρος 0.2 έως 106 έτη).
Κατανομή ανακοινωθέντων εγχώριων κρουσμάτων: Από το σύνολο των 520 νέων κρουσμάτων του νέου ιού στη χώρα7είναι εισαγόμενα εκ των οποίων 1 εντοπίστηκε κατόπιν ελέγχων στις πύλες εισόδου της χώρας.
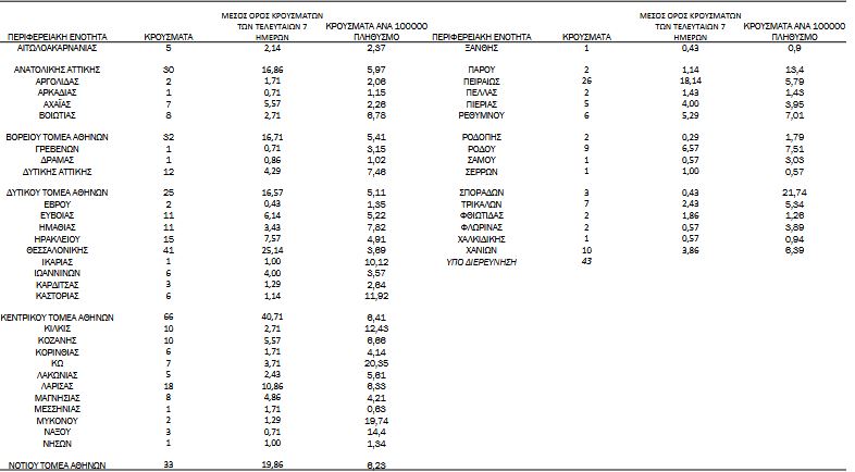
Η κατανομή των 513 νέων εγχώριων κρουσμάτων ανά Περιφερειακή Ενότητα παρουσιάζεται στον κατωτέρω πίνακα.

Συναγερμός από ECDC
H μετάλλαξη «Δέλτα» (ινδική) θα αποτελεί το 90% των κρουσμάτων στην Ευρώπη τους επόμενους μήνες, αναφέρει σε νέα εκτίμησή του το ECDC.
H μετάλλαξη «Δέλτα» είναι πιο μεταδοτική από άλλες κυκλοφορούσες και «υπολογίζουμε ότι έως τα τέλη Αυγούστου θα αποτελεί το 90% των νέων κρουσμάτων στην Ευρώπη», σημειώνει το Ευρωπαϊκό Κέντρο Ελέγχου και Πρόληψης Νοσημάτων.
Σε ανάλογη σύσταση προχώρησε και το αμερρικανικό CDC (Centers for Disease Control and Prevention).
Στο Ηνωμένο Βασίλειο μελέτες δείχνουν ότι παιδιά και ενήλικες κάτω των 50 ετών είναι 2,5 φορές πιθανότερο να μολυνθούν με στέλεχος «Δέλτα» και έχουν διπλάσιο κίνδυνο νοσηλείας σε σχέση με το στέλεχος Άλφα. [Διαβάστε]


