Σε 1.496 ανέρχονται τα νέα κρούσματα κορωνοϊού στη χώρα το τελευταίο 24ωρο, σύμφωνα με την ενημέρωση του ΕΟΔΥ. Αξίζει να σημειωθεί ότι λόγω της χθεσινής αργίας, διενεργήθηκε σημαντικά μικρότερος αριθμός τεστ.
Κατά το ίδιο διάστημα, κατεγράφησαν 53 θάνατοι, με τον αριθμό των νεκρών από την εμφάνιση της πανδημίας να φτάνει τους 7.754.
Συνεχίζεται η πίεση στο ΕΣΥ
Παράλληλα, σε 707 ανέρχονται οι διασωληνωμένοι ασθενείς στις ΜΕΘ. Πρόκειται για τα υψηλότερα επίπεδα που έχουν βρεθεί ποτέ από την έναρξη της πανδημίας, με τον αριθμό τους να αυξάνεται οριακά σε σύγκριση με την Πέμπτη (706).
Η διάμεση ηλικία τους είναι 68 έτη, ενώ το 82,5% έχει υποκείμενο νόσημα ή/και ηλικία 70 ετών και άνω. Από την αρχή της πανδημίας έχουν εξέλθει από τις ΜΕΘ 1.648 ασθενείς.
Οι εισαγωγές νέων ασθενών COVID-19 στα νοσοκομεία της επικράτειας ήταν την Πέμπτη 448 (ημερήσια μεταβολή +2.05%). Τα εξιτήρια ανήλθαν σε 360.
Την Πέμπτη, η κάλυψη κλινών ΜΕΘ COVID πανελλαδικά έφτανε το 83,24%, ενώ η κάλυψη απλών κλινών COVID to 56,62%.
Σημαντικά λιγότερα τεστ
Συνολικά διενεργήθηκαν 11.542 τεστ (5.911 PCR και 5.631 Rapid), ενώ η θετικότητα ανήλθε σε 12,96%. O μέσος όρος του επταημέρου είναι 38.270 δειγματοληπτικοί έλεγχοι.
Υπενθυμίζεται ότι την Πέμπτη 25 Μαρτίου είχαν ανακοινωθεί 2.588 νέα περιστατικά COVID-19 και 52 θάνατοι ασθενών λόγω της νόσου, ενώ οι διασωληνωμένοι ήταν 706. Είχαν διενεργηθεί 52.893 τεστ, ενώ η θετικότητα έφτανε το 4,89%.
Μία εβδομάδα πριν, την Παρασκευή 19 Μαρτίου, είχαν ανακοινωθεί 2.785 νέα περιστατικά COVID-19 και 64 θάνατοι ασθενών λόγω της νόσου, ενώ οι διασωληνωμένοι ήταν 649. Είχαν διενεργηθεί 52.850 τεστ, ενώ η θετικότητα έφτανε το 5,27%.
Γεωγραφική κατανομή
Από το σύνολο των 1.496 νέων κρουσμάτων στη χώρα επτά είναι εισαγόμενα, εκ των οποίων πέντε εντοπίστηκαν κατόπιν ελέγχων στις πύλες εισόδου της χώρας.
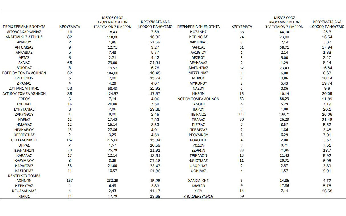
Η κατανομή των 1.489 νέων εγχώριων κρουσμάτων ανά Περιφερειακή Ενότητα παρουσιάζεται στον κατωτέρω πίνακα:

Εκ των νέων κρουσμάτων, στην Αττική εντοπίστηκαν 637, στη Θεσσαλονίκη 167, ενώ στην Αχαΐα 68.
Η γεωγραφική κατανομή των κρουσμάτων στις περιφερειακές ενότητες της Αττικής:
- Ανατολική Αττική: 82
- Βόρειος Τομέας Αθηνών: 62
- Δυτική Αττική: 53
- Δυτικός Τομέας Αθηνών: 88
- Κεντρικός Τομέας Αθηνών: 157
- Νότιος Τομέας Αθηνών: 63
- Πειραιάς: 117
- Π.Ε. Νήσων: 15
Η κατανομή στην υπόλοιπη χώρα:
- 167 κρούσματα στην Π.Ε. Θεσσαλονίκης
- 16 κρούσματα στην Π.Ε. Αιτωλοακαρνανίας
- 2 κρούσματα στην Π.Ε. Ανδρου
- 9 κρούσματα στην Π.Ε. Αργολίδας
- 5 κρούσματα στην Π.Ε Αρκαδίας
- 3 κρούσματα στην Π.Ε Αρτας
- 68 κρούσματα στην Π.Ε. Αχαΐας
- 8 κρούσματα στην Π.Ε. Βοιωτίας
- 5 κρούσματα στην Π.Ε Γρεβενών
- 4 κρούσματα στην Π.Ε Δράμας
- 6 κρούσματα στην Π.Ε. Έβρου
- 16 κρούσματα στην Π.Ε. Εύβοιας
- 6 κρούσματα στην Π.Ε. Ευρυτανίας
- 1 κρούσμα στην ΠΕ Ζακύνθου
- 12 κρούσματα στην Π.Ε. Ηλείας
- 12 κρούσματα στην Π.Ε Ημαθίας
- 15 κρούσματα στην ΠΕ Ηρακλείου
- 2 κρούσματα στην Π.Ε. Θεσπρωτίας
- 2 κρούσματα στην Π.Ε. Θήρας
- 20 κρούσματα στην Π.Ε. Ιωαννίνων
- 17 κρούσματα στην Π.Ε Καβάλας
- 8 κρούσματα στην Π.Ε Καλύμνου
- 38 κρούσματα στην Π.Ε. Καρδίτσας
- 11 κρούσματα στην Π.Ε Καστοριάς
- 4 κρούσματα στην Π.Ε. Κέρκυρας
- 4 κρούσματα στην Π.Ε Κεφαλληνίας
- 11 κρούσματα στην Π.Ε Κιλκίς
- 38 κρούσματα στην Π.Ε Κοζάνης
- 24 κρούσματα στην Π.Ε. Κορινθίας
- 3 κρούσματα στην Π.Ε. Λακωνίας
- 51 κρούσματα στην Π.Ε Λάρισας
- 1 κρούσμα στην Π.Ε Λασιθίου
- 3 κρούσματα στην Π.Ε. Λέσβου
- 2 κρούσματα στην Π.Ε. Λευκάδας
- 32 κρούσματα στην Π.Ε. Μαγνησίας
- 1 κρούσμα στην Π.Ε. Μεσσηνίας
- 2 κρούσματα στην Π.Ε.Μήλου
- 2 κρούσματα στην Π.Ε. Μυκόνου
- 2 κρούσματα στην Π.Ε. Νάξου
- 8 κρούσματα στην Π.Ε. Ξάνθης
- 3 κρούσματα στην Π.Ε. Πάρου
- 30 κρούσματα στην Π.Ε. Πέλλας
- 7 κρούσματα στην Π.Ε. Πιερίας
- 2 κρούσματα στην Π.Ε. Πρέβεζας
- 6 κρούσματα στην Π.Ε. Ρεθύμνου
- 4 κρούσματα στην Π.Ε Ροδόπης
- 9 κρούσματα στην Π.Ε. Ρόδου
- 33 κρούσματα στην Π.Ε. Σερρών
- 13 κρούσματα στην Π.Ε. Τρικάλων
- 11 κρούσματα στην Π.Ε. Φθιώτιδας
- 2 κρούσματα στην Π.Ε. Φλώρινας
- 4 κρούσματα στην Π.Ε. Φωκίδας
- 5 κρούσματα στην Π.Ε. Χαλκιδικής
- 9 κρούσματα στην Π.Ε. Χανίων
- 14 κρούσματα στην Π.Ε. Χίου
- 59 κρούσματα υπό διερεύνηση.
Διαβάστε επίσης:
• Προς άνοιγμα γυμνασίων και λυκείων στις 5 Απριλίου
• Εμβολιασμός νωρίτερα μέσω «λίστας αναμονής»
• Εμβόλιο: Άνοιξε η πλατφόρμα για τις ηλικίες 70-74

